This work was led by Ph.D. candidate Jesse Knight with Sharmistha Mishra and our close…
Category: Research
This project was led by Jesse Knight, and published in Epidemics. Why did we conduct…
This project was led by Yiqing Xia and Huiting Ma, and published in the International…
This paper is published in Influenza and Other Respiratory Viruses. Why did we conduct this…
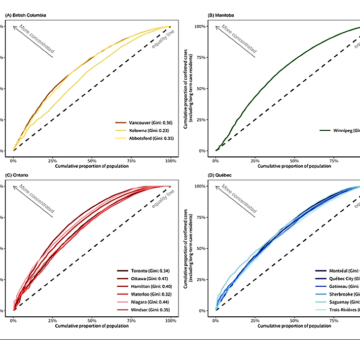
This paper is published in CMAJ. Why did we conduct this study? Understanding inequalities in…
